Lista 2B
O assunto abordado nessa atividade é o mesmo abordado na atividade 3. Vamos também, para o exercício 2, analisar a convergência das iterações de ponto fixo. Antes de iniciarmos a resolução do próprio exercício, vamos fazer uma breve introdução do que são as iterações de ponto fixo. As explicações do método de newton, utilizado no exercício 1, já foram abordadas na atividade 3.
Resolução dos exercícios :

Para o primeiro exercício, foi requerido que nós usássemos o método de Newton-Raphson e outro à nossa escolha. No caso, decidimos usar o método da bisseção. Ambos já foram explicados na atividade anterior. Os dois algoritmos foram desenvolvidos utilizando a linguagem java.

Derivada:

NEWTON-RAPHSON
Código:
package javaapplication3;
import java.util.Scanner;
public class JavaApplication3 {
//Definindo a função f(a)
public static double f(double a) {
double pi = 3.141592653589793238462643383279502884197169399375105820974;
return ((10 * (Math.cos(pi - ((3 * pi) / 5) - a) / Math.pow(Math.sin(pi - ((3 * pi) / 5) - a), 2))) - (8 * ((Math.cos(a)) / Math.pow(Math.sin(a), 2))));
}
//Definindo a função g(a) = f'(a)
public static double g(double a) {
double pi = 3.141592653589793238462643383279502884197169399375105820974;
return ((8 * (Math.pow(1 / (Math.sin(a)), 3)))
+ (10 * Math.pow(1 / Math.cos(a + (pi / 10)), 3))
+ (8 * (Math.pow(1 / Math.tan(a), 2)) * (1 / Math.sin(a)))
+ (10 * (Math.pow(Math.tan(a + (pi / 10)), 2)) * (1 / Math.cos(a + (pi / 10)))));
}
//Agora deifinímos o metodo de Newton-Raphson
public static double NR_2B_1() {
int i = 1;
double x, y;
Scanner sc = new Scanner(System.in);
System.out.println("De um chute inicial para x0:");
y = sc.nextDouble(); //Pedimos para o usuário definir o valor de Y;
x = 0;
while (y != x && Math.abs(y - x) > Math.pow(10, -14)) {
x = y;
y = x - (f(x) / g(x));
System.out.println("A raíz é: " + y + " na " + i + "ª iteração.");
i++;
}
return y;
}
public static void main(String[] args) {
double r;
r = NR_2B_1(); //Chamamos o método NR_2B_1
}
}
Resultados
Para x0 = 0.1 :


-Neste caso, podemos observar que o valor obtido para a raiz converge rapidamente para o valor do zero da função, observado no gráfico.
Para o caso x0 = -6


-Neste caso, podemos notar que, novamente, o valor dado pelo programa e o valor do gráfico são bastante próximos.
BISSEÇÃO
Código:
package bissecao2b;
import java.util.Scanner;
public class Bissecao2b {
public static void main(String[] args) {
double x1, x2;
double pi = 3.141592653589793238462643383279502884197169399375105820974;
Scanner sc = new Scanner(System.in);
System.out.print("Digite o primeiro valor do intervalo :");
x1 = sc.nextDouble();
System.out.print("Digite o segundo valor do intervalo :");
x2 = sc.nextDouble();
int i = 0;
double aux;
double y1 = ((10 * (Math.cos(pi - ((3 * pi) / 5) - x1) / Math.pow(Math.sin(pi - ((3 * pi) / 5) - x1), 2))) - (8 * ((Math.cos(x1)) / Math.pow(Math.sin(x1), 2))));
double y2 = ((10 * (Math.cos(pi - ((3 * pi) / 5) - x2) / Math.pow(Math.sin(pi - ((3 * pi) / 5) - x2), 2))) - (8 * ((Math.cos(x2)) / Math.pow(Math.sin(x2), 2))));
while ((y1 < 0 && y2 < 0) '' (y1 > 0 && y2 > 0)) {//
System.out.println("É impossível identificar raízes nesse caso pois ambos os valores de f(x) possuem o mesmo sinal."
+ "Por favor, apresente outros");
System.out.print("Digite o primeiro valor do intervalo :");
x1 = sc.nextDouble();
System.out.print("Digite o segundo valor do intervalo :");
x2 = sc.nextDouble();
y1 = ((10 * (Math.cos(pi - ((3 * pi) / 5) - x1) / Math.pow(Math.sin(pi - ((3 * pi) / 5) - x1), 2))) - (8 * ((Math.cos(x1)) / Math.pow(Math.sin(x1), 2))));
y2 = ((10 * (Math.cos(pi - ((3 * pi) / 5) - x2) / Math.pow(Math.sin(pi - ((3 * pi) / 5) - x2), 2))) - (8 * ((Math.cos(x2)) / Math.pow(Math.sin(x2), 2))));
}
while (Math.abs(y1 - y2) > Math.pow(10, -10)) {
if ((y1 < 0 && y2 > 0) '' (y1 > 0 && y2 < 0)) { //SINAIS DIFERENTES
aux = x2;
x2 = (x1 + x2) / 2;
y2 = ((10 * (Math.cos(pi - ((3 * pi) / 5) - x2) / Math.pow(Math.sin(pi - ((3 * pi) / 5) - x2), 2))) - (8 * ((Math.cos(x2)) / Math.pow(Math.sin(x2), 2))));
if ((y1 < 0 && y2 < 0) '' (y1 > 0 && y2 > 0)) { //SINAIS IGUAIS
x2 = aux;
x1 = (x1 + x2) / 2;
y1 = ((10 * (Math.cos(pi - ((3 * pi) / 5) - x1) / Math.pow(Math.sin(pi - ((3 * pi) / 5) - x1), 2))) - (8 * ((Math.cos(x1)) / Math.pow(Math.sin(x1), 2))));
y2 = ((10 * (Math.cos(pi - ((3 * pi) / 5) - x2) / Math.pow(Math.sin(pi - ((3 * pi) / 5) - x2), 2))) - (8 * ((Math.cos(x2)) / Math.pow(Math.sin(x2), 2))));
}
}
System.out.println(x2);
i++;
}
System.out.println("O valor obtido da raiz é: " + x2);
System.out.println("O número total de iterações foi: " + i);
}
}
Resultados
Para o intervalo {0,1; 2}


-O valor obtido por esse método foi muito próximo ao valor obtido pelo método de Newton, divergindo apenas da quantidade de iterações necessárias até se encontrar a raiz.
Para o intervalo inválido {2;2,5} e depois para o intervalo {-6;-5}.


-Esse exemplo mostra como, caso o usuário apresente variáveis que formem um intervalo no qual não há raízes, o programa acusa o erro e pede para que o usuário apresente novas variáveis. Novamente a raíz encontrada condiz com o que observamos, tanto na figura, quanto no método de Newton-Raphson.
Conclusão
Iteração de ponto fixo
Mas o que é ponto fixo? Ponto fixo de dada função F é o número x* que quando usado na função resulta nele mesmo, ou seja, F(x*)=x*. Dada uma aproximação inicial X0 para x*, o método consiste em iterar sucessivamente a função dada sobre X0 . Ou seja, constrói-se a sequência X(n+1)=Fn+1(X0)=Fn(F(X0)) sendo cada Xn uma nova aproximação do ponto fixo x*. Dada uma função f(x) contínua no intervalo [a,b] onde existe uma raiz única, f(x) = 0, é possível transformar tal equação em uma equação equivalente x = g(x) e, a partir de uma aproximação inicial x0, gerar uma seqüência {xk} de aproximações para x pela relação xk+1 = g(xk), uma vez que g(x) é tal que f(x) = 0, se e somente se g(x) = x.


O algoritmo foi desenvolvido em linguagem java e o código encontra-se abaixo:
Código:
package exe.pkg22b;
import static java.lang.Math.abs;
import java.util.Scanner;
public class Exe22b {
public static void main(String[] args) {
double R;
double xi;
int n;
double tolerancia=Math.pow(10,-16); //Tolerância arbitrária escolhida pelo grupo
Scanner sc=new Scanner(System.in);
System.out.println(" Digite o número que você gostaria de saber a raiz:\n");
R=sc.nextDouble();
System.out.println(" Digite a aproximação para o ponto fixo:\n");
xi=sc.nextDouble();
int k=1;
n=100000;
while(k<=n){
double xk=xi*((Math.pow(xi,2))+3*R)/(3*(Math.pow(xi,2))+R);
if( abs (xk-xi)<tolerancia){
System.out.println("o número de iterações é " + k);
System.out.println("A raíz do número desejado é :" + xk);
break;
}
else {
k++;
xi=xk;
}}}}
Fazendo simulações com valores aleatórios, os resultados obtidos com o algoritmo foram:



Para esses valores, houve a rápida convergência para o valor da raiz desejada. Porém, quando se escolhe um valor grande para se descobrir a raiz com uma aproximação muito pequena, o programa fica rodando, encerra e não apresenta nenhum resultado, ou seja, mesmo com esse valor de n muito grande, não se chega em valor algum, isso deve-se porque para esses valores digitados, não se satisfaz a inequação que garante a convergência. Como pode ser visto nas imagens abaixo:


Percebam o tempo de execução, é muito grande.
Mas quando inicializamos com um valor verdadeiramente próximo a raiz, obtemos os resultados que queremos:

Porém quando digitamos um número maior que um que não convergiu para a raíz, com a mesma aproximação, obtivemos o seguinte resultado


Isso não está relacionado então com o número de n, que não é suficientemente grande para que haja convergência até o valor da raíz dentro da tolerância estabelecida. Esse comportamento está relacionado com o fato de o valor inicial do número que se deseja saber a raiz e a aproximação não estão na região onde a inequação é satisfeita(inequação relacionada com o teorema da convergência, explicada a baixo), dessa maneira, eles não convergem.
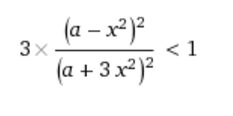
O teorema da convergência afirma que se a derivada da função for x(k+1) <1 , x(k+1) e x(k+1) forem contínuas e x1 estiver dentro do intervalo definido, então a função vai convergir.
Feita essa derivada e resolvida a inequação, os valores obtidos para a e para X são apresentados no gráfico abaixo, feito no wolfram



A parte em roxo representa a área em que a inequação é satisfeita.Podemos ver pelo gráfico que para a=0 e x=0, a função não converge. É também possível perceber que área de valores negativos de a, a região que não converge, aumenta mais rapidamente do que e região com a positivo.
Com as simulações abaixo podemos verificar essa convergência.






Com as imagens vistas acima, é possível concluir que mesmo com uma grande diferença entre valor do número e a aproximação linear, há sempre a convergência, se os valores escolhidos estão dentro da região onde a inequação é satisfeita. Os valores de raíz que não forem encontrados, é porque não há convergência quando combinado esses dois valores. O encontro rápido do valor desejado, com baixo número de iterações, indica que não é um método de convergência linear e sim um método de convergência de pelo menos ordem 2, como o método de Newton-Raphson.
Fazendo-se uso do teorema da convergência, pudemos chegar nos valores desejados, ou seja, o método de iteração de ponto fixo também é um método, bem como método de Newton e da bissecção apresentados nessa lista, muito eficiente para se encontrar o valor que deseja.
